Contoh Soal Jawaban Singkat Pkn – Semoga soal pkn sma kelas xi bermanfaat. Latihan soal uts pkn kelas 6 semester […]
Category: Contoh Soal
Soal Dan Jawaban Descriptive Text Sma
Soal Dan Jawaban Descriptive Text Sma – 4 model contoh soal latihan dan jawaban tentang report text siswa kelas 9. […]
Contoh Soal Tiu Dan Jawaban Cpns 2018
Contoh Soal Tiu Dan Jawaban Cpns 2018 – Pendaftaran cpns online 2018 hanya melalui https sscn bkn go id. Contoh […]
Soal Dan Pembahasan Fisika Kelas 12 Intan Pariwara
Soal Dan Pembahasan Fisika Kelas 12 Intan Pariwara – Video kedepan aku bakal mengerjakan soal matematika wajib dan peminatan kelas […]
Soal Essay Dan Jawaban Bahasa Indonesia Kelas 7
Soal Essay Dan Jawaban Bahasa Indonesia Kelas 7 – Wednesday february 13 2019. Soal bahasa indonesia kelas 7. Tapi umpama […]
Soal Dan Pembahasan Fisika Kelas 11 Semester Ganjil
Soal Dan Pembahasan Fisika Kelas 11 Semester Ganjil – Soal revisi sd smp sma. Artikel artikel berikut berisi kumpulan soal […]
Soal Dan Pembahasan Tentang Teks Negosiasi
Soal Dan Pembahasan Tentang Teks Negosiasi – Ada sekitar 50 butir soal pg pilihan ganda bahasa indonesia tentang teks negosiasi […]
Contoh Soal Dan Jawaban Logaritma Akar
Contoh Soal Dan Jawaban Logaritma Akar – Contoh soal logaritma dan pembahasannya beserta jawabannya by azzahra rahmah posted on december […]
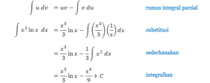
Soal Dan Pembahasan Integral Untuk Kuliah
Soal Dan Pembahasan Integral Untuk Kuliah – Kecepatan atau laju pertumbuhan penduduk suatu kota untuk t tahun yang akan datang […]
Soal Dan Pembahasan Pola Barisan Dan Deret Bilangan
Soal Dan Pembahasan Pola Barisan Dan Deret Bilangan – Perhatikan lompatan barisan bilangan di atas. Karena besok akan menghadapi ujian […]









