Soal Dan Pembahasan Fisika Kelas 10 Gerak Melingkar – 2 s dan 10π m s 1. 10 sebuah partikel bergerak […]
Category: Contoh Soal
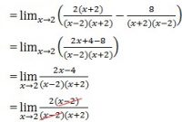
Soal Dan Pembahasan Limit Aljabar Tak Hingga
Soal Dan Pembahasan Limit Aljabar Tak Hingga – Untuk limit tak hingga fungsi trigonometri akan kita bahas pada artikel lain […]
Soal Ipa Dan Jawaban Kelas 5
Soal Ipa Dan Jawaban Kelas 5 – Soal uas ipa kelas 5 semester 1 plus kunci jawaban juragan les. Berikut […]
Soal Dan Jawaban Usbn Agama Islam
Soal Dan Jawaban Usbn Agama Islam – 40 soal pilihan ganda agama islam pai sd 1. Download soal dan kunci […]
Soal Dan Jawaban Tentang Ekonomi Manajerial
Soal Dan Jawaban Tentang Ekonomi Manajerial – Q 2 120 10p 2. Soal uts sistem informasi manajemen. Berapa jumlah q […]
Soal Dan Jawaban Ipa Kelas 5 Semester 1
Soal Dan Jawaban Ipa Kelas 5 Semester 1 – Soal ulangan harian ipa kelas 5 sd bab 6 cahaya disertai […]
Soal Jawab Olimpiade Matematika Smp
Soal Jawab Olimpiade Matematika Smp – Soal olimpiade ipa smp hal ini adalah sebagai sarana dasar dalam melakukan ujian nasional […]
Soal Jawab Geografi Kelas 10 Semester 1
Soal Jawab Geografi Kelas 10 Semester 1 – Bagikan ke teman teman yuk. Contoh soal uas semester ganjil mapel geografi […]
Contoh Soal Dan Pembahasan Logaritma Kelas 10
Contoh Soal Dan Pembahasan Logaritma Kelas 10 – A 2 3 8 b 5 4 625 c 7 2 49 […]
Soal Dan Jawaban Fisika Semester 2 Kelas 10
Soal Dan Jawaban Fisika Semester 2 Kelas 10 – Soal pat fisika kelas 10 11 semester 2 kurikulum 2013 dan […]









