Contoh Soal Dan Jawaban Akuntansi Jurnal Khusus – Contoh jurnal khusus perusahaan dagang berisi definisi dari 4 jenis jurnal khusus […]
Category: Contoh Soal
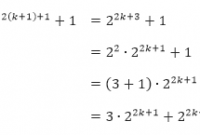
Contoh Soal Induksi Matematika Gampang
Contoh Soal Induksi Matematika Gampang – Contoh soal induksi matematika dalam deret jawabanmu. Serupa dengan soal soal sebelumnya kita substitusi […]
Soal Essay Dan Jawaban Matematika Kelas 10 Semester 2
Soal Essay Dan Jawaban Matematika Kelas 10 Semester 2 – Soal berikut ini adalah latihan online untuk persiapan uas ulangan […]
Soal Dan Pembahasan Penjaskes Kelas X Semester 2
Soal Dan Pembahasan Penjaskes Kelas X Semester 2 – Soal revisi adalah blog yang berbagi informasi soal uas tema 5 […]
Contoh Soal Bahasa Inggris Narrative Dan Jawaban
Contoh Soal Bahasa Inggris Narrative Dan Jawaban – Kumpulan 200 contoh soal bahasa inggris lengkap dengan kunci jawaban dan pembahasan. […]
Soal Dan Jawaban Agama Katolik Kelas 11 Semester 1
Soal Dan Jawaban Agama Katolik Kelas 11 Semester 1 – Rpp mata pelajaran agama katolik di sd. Contoh file download […]
Soal Dan Kunci Jawaban Bahasa Indonesia Kelas 12 Kurikulum 2013
Soal Dan Kunci Jawaban Bahasa Indonesia Kelas 12 Kurikulum 2013 – Mudah mudahan selalu sehat ya pada kesempatan yang baik […]
Contoh Soal Beserta Jawaban Barisan Dan Deret Aritmatika
Contoh Soal Beserta Jawaban Barisan Dan Deret Aritmatika – Skip to content menu. Semoga artikel ini bermanfaat dan menambah wawasan […]
Soal Dan Jawaban Fisika Kelas Xii
Soal Dan Jawaban Fisika Kelas Xii – Potensial listrik total di titik p yaitu. Xii ipa 2 remedial fisika bab […]
Soal Dan Jawaban Ukk Ekonomi Kelas 10 Semester 2
Soal Dan Jawaban Ukk Ekonomi Kelas 10 Semester 2 – Demikian informasi tentang soal ujian ukk pat ski madrasah aliyah […]









