Soal Dan Jawaban Hope And Wish – Contoh soal expression of hope and wish offering and formal letter. Soal soal […]
Category: Contoh Soal
Contoh Soal Dan Pembahasan Sifat Elastisitas Bahan
Contoh Soal Dan Pembahasan Sifat Elastisitas Bahan – Contoh soal elastisitas pengertian elastisitas di dalam ilmu fisika elastisitas yaitu kecenderungan […]
Contoh Soal Jawab Barisan Dan Deret
Contoh Soal Jawab Barisan Dan Deret – Barisan geometri yaitu 8 16 32 64 128 256 un. Namun dalam pembahasan […]
Soal Cpns Matematika Beserta Jawaban
Soal Cpns Matematika Beserta Jawaban – Infoasn id contoh soal cpns 2019 tiu twk dan tkp beserta pembahasan. Silahkan di […]
Soal Dan Jawaban Mapel Penjaskes
Soal Dan Jawaban Mapel Penjaskes – Posted in umum tagged contoh soal uts pjok kelas 3 sd semester 2 kisi […]
Soal Dan Jawaban Geometri Dimensi Tiga
Soal Dan Jawaban Geometri Dimensi Tiga – Maretong soal dan pembahasan dimensi tiga pelajaran soal rumus geometri jarak titik ke […]
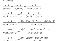
Contoh Soal Dan Pembahasan Integral Rasional
Contoh Soal Dan Pembahasan Integral Rasional – 2002 hitunglah 𝑑𝑥 𝑥2 2𝑥 penyelesaian. Contoh soal integral parsial kuliah kumpulan soal […]
Jawaban Soal Bahasa Indonesia Kelas 12 Halaman 36
Jawaban Soal Bahasa Indonesia Kelas 12 Halaman 36 – Semburan lumpur air dan gas baru keluar dari halaman belakang rumah […]
Contoh Soal Matematika Kelas 12 Tentang Peluang
Contoh Soal Matematika Kelas 12 Tentang Peluang – Supaya lebih komplit admin akan kupas tuntas tentu saja semua contoh soal […]
Soal Dan Pembahasan Sbmptn Limit Fungsi Trigonometri
Soal Dan Pembahasan Sbmptn Limit Fungsi Trigonometri – Penyajian rumus simbol matematika di sini menggunakan latex sehingga lebih smooth dari […]









