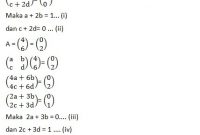
Pertanyaan Dan Jawaban Program Linear – Luas rata rata untuk mobil kecil 4 m 2 dan mobil besar 20 m […]
Category: Contoh Soal
Soal Dan Jawaban Ips Kelas 4 Semester 1
Soal Dan Jawaban Ips Kelas 4 Semester 1 – Peduli makhluk hidup tema 4 berbagai pekerjaan dan untuk tema 5 […]
Contoh Soal Dan Jawaban Eksponen Pecahan
Contoh Soal Dan Jawaban Eksponen Pecahan – Syaratnya a tidak boleh sama dengan nol. Misalkan a 0 dan a 1. […]
Soal Uts Bahasa Inggris Kelas 12 Beserta Jawabannya
Soal Uts Bahasa Inggris Kelas 12 Beserta Jawabannya – 45 contoh soal uas bahasa inggris kelas 12 sma ma semester […]
Jawaban Soal Simulasi Matematika 2019
Jawaban Soal Simulasi Matematika 2019 – Soal un smk matematika 2019 dan pembahasannya. Check spelling or type a new query. […]
Soal Dan Pembahasan Tentang Getaran
Soal Dan Pembahasan Tentang Getaran – Dalam 1 sekon lintasan yang ditempuh beban pada gambar 1 adalah 2 1 3 […]
Soal Bahasa Inggris Beserta Jawabannya Kelas 11
Soal Bahasa Inggris Beserta Jawabannya Kelas 11 – Artikel tentang contoh soal bahasa inggris kelas 11 tahun 2020 2021 sma […]
Latihan Soal Dan Pembahasan Olimpiade Matematika Smp
Latihan Soal Dan Pembahasan Olimpiade Matematika Smp – Judul manajemen koperasi pengarang dra ninik widiyati. Soal olimpiade matematika smp. Soal […]
Contoh Soal Bentuk Jawaban Singkat
Contoh Soal Bentuk Jawaban Singkat – Aktivitas menggambar yang digunakan model sebagai objek gambar disebut. Salah satu keunggulan soal jawaban […]
Contoh Soal Dan Jawaban Penjaskes Tentang Sepak Bola
Contoh Soal Dan Jawaban Penjaskes Tentang Sepak Bola – Untuk materi yang kami gunakan dalam penyusunan soal bola basket ini […]







