Soal Jawab Kewirausahaan Kelas 11 – Kerajinan dari bahan lunak merupakan produk kerajinan yang menggunakan bahan dasar yang bersifat lunak […]
Category: Contoh Soal
Soal Uas Kimia Kelas 10 Semester 2 Dan Kunci Jawaban
Soal Uas Kimia Kelas 10 Semester 2 Dan Kunci Jawaban – Soal uas fisika kelas 10 semester 2. Usaha dan […]
Soal Dan Pembahasan Olimpiade Sains Sd
Soal Dan Pembahasan Olimpiade Sains Sd – Soal olimpiade ipa sd by azzahra rahmah posted on january 4 2020 rumus […]
Contoh Soal Dan Jawaban Cat Cpns 2018
Contoh Soal Dan Jawaban Cat Cpns 2018 – Contoh soal cpns 2018 dan pembahasannya. Latihan soal tes cpns adalah penting […]
Soal Jawab Akuntansi Perusahaan Dagang
Soal Jawab Akuntansi Perusahaan Dagang – Barang ini dapat berupa barang konsumsi atau barang produksi dan bahan baku untuk produksi […]
Download Soal Cpns Dan Jawaban Nya
Download Soal Cpns Dan Jawaban Nya – Download soal cpns 2019 pdf dan kunci jawabannya. Kamu bisa download soal cpns […]
Jawaban Soal Akuntansi Intermediate Jilid 2
Jawaban Soal Akuntansi Intermediate Jilid 2 – Dasar dasar akuntansi jilid 2. Survey di amerika membuktikan bahwa 100 akuntan merekomendasikan […]
Contoh Soal Dan Pembahasan Tentang Himpunan Kelas 7
Contoh Soal Dan Pembahasan Tentang Himpunan Kelas 7 – Seperti yang kita ketahui bersama bahwa dalam matematika himpunan adalah kumpulan […]
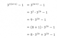
Soal Dan Jawaban Induksi Matematika
Soal Dan Jawaban Induksi Matematika – Beberapa soal dan pembahasan induksi matematika disertai basis bilangan. Persamaan di atas bernilai benar […]
Jawaban Soal Bahasa Inggris Taj Mahal
Jawaban Soal Bahasa Inggris Taj Mahal – Contoh penggunaan untuk jawaban di bahasa inggris. Daftar menu bahasa indonesia yang akan […]









