Soal Dan Pembahasan Dimensi Tiga Sbmptn – Contoh soal dan pembahasan tentang jarak antar dua titik. Biasanya ada dua soal […]
Category: Contoh Soal
Soal Dan Jawaban Excel If
Soal Dan Jawaban Excel If – Dalam mengerjakan contoh soal excel untuk bank excel soal 3 ini pemahaman tentang rumus […]
Soal Dan Jawaban Penjas Kelas 10 Semester 2 K13
Soal Dan Jawaban Penjas Kelas 10 Semester 2 K13 – Soal pat kelas 10 k13 tahun 2020 2021 lengkap download […]
Soal Dan Jawaban Hukum Kirchoff 2
Soal Dan Jawaban Hukum Kirchoff 2 – Hukum kirchoff adalah salah satu hukum dalam ilmu elektronika yang berfungsi untuk menganalisis […]
Contoh Soal Fisika Kelas 11 Tentang Momen Inersia
Contoh Soal Fisika Kelas 11 Tentang Momen Inersia – Contoh soal dan jawaban momen inersia 1. Contoh soal momen inersia […]
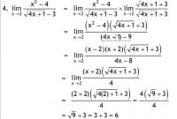
Soal Dan Pembahasan Integral Logaritma Natural
Soal Dan Pembahasan Integral Logaritma Natural – Suatu logaritma dengan basis e dinamakan logaritma natural dan ditulis dengan ln. Nilai […]
Soal Jawaban Kwu Kelas 12
Soal Jawaban Kwu Kelas 12 – Semoga bermanfaat dan sobat bisa mengerjakan naskah asli soal usbn sma mendatang dengan lancar. […]
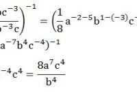
Soal Dan Pembahasan Eksponen Dan Logaritma Kelas X
Soal Dan Pembahasan Eksponen Dan Logaritma Kelas X – Contoh file download soal uts untuk kelas 6 5 4 3 […]
Soal Kimia Kelas X Beserta Jawabannya
Soal Kimia Kelas X Beserta Jawabannya – Teori atom rutherford d. 50 soal kimia kelas 10 semester 2dan jawabannya persiapan […]
Soal Essay Explanation Text Dan Jawaban
Soal Essay Explanation Text Dan Jawaban – Many plane s wings are curved at the top and smoother at the […]







