Soal Dan Jawaban Tentang Logaritma – Soal soal tersebut merupakan soal pilihan ganda lengkap dengan jawabannya. Meski sudah memiliki sifat […]
Category: Contoh Soal
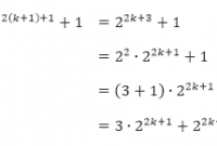
Soal Dan Pembahasan Matematika Logaritma
Soal Dan Pembahasan Matematika Logaritma – Logaritma merupakan salah satu topik matematika yang memiliki model soal dengan cakupan cukup luas […]
Contoh Soal Dan Jawaban Bab Ekosistem
Contoh Soal Dan Jawaban Bab Ekosistem – Berikut ini soal pilihan ganda dan jawaban bab ekosistem ekologi. Berikut ini adalah […]
Soal Bahasa Inggris Kelas 7 Dan Kunci Jawaban
Soal Bahasa Inggris Kelas 7 Dan Kunci Jawaban – Kini memasuki hari keenam atau hari terakhir sabtu 18 mei 2019 […]
Soal Dan Jawaban Glb Fisika
Soal Dan Jawaban Glb Fisika – Kecepatan dan percepatan berubah e. Contoh soal gerak lurus ini terdiri dari 5 soal […]
Soal Dan Jawaban Integral Substitusi
Soal Dan Jawaban Integral Substitusi – Metode ini digunakan ketika proses pengintegralan tidak bisa diselesaikan dengan teorema dasar integral. Soal […]
Jawaban Soal Ipa Kelas 9 Bab 5
Jawaban Soal Ipa Kelas 9 Bab 5 – Contoh soal ipa kelas 9 dan jawabannya bab 5 kelistrikan dan teknologi […]
Soal Dan Jawaban Hasil Operasi Bilangan Berpangkat
Soal Dan Jawaban Hasil Operasi Bilangan Berpangkat – Contoh soal perkalian pembagian dan contoh perhitungan bilangan berpangkat lainnya. Hasil perkalian […]
Soal Dan Jawaban Matematika Kelas 12 Smk Semester 5
Soal Dan Jawaban Matematika Kelas 12 Smk Semester 5 – Semoga membantu dan bermanfaat. Berikut ini adalah file tentang soal […]
Soal Dan Jawaban Teks Eksplanasi
Soal Dan Jawaban Teks Eksplanasi – 1 banjir adalah fenomena alam yang bersumber dari curah hujan dengan intensitas tinggi dan […]






