Contoh Soal Dan Pembahasan Integral Siklometri – Andaikan u 𝑥 𝑥1 2. Pelajari rangkuman materi integral dilengkapi dengan contoh soal integral beserta pembahasan jawaban lengkap dari soal un dan sbmptn untuk kelas 11. Setelah sebelumnya kita membahas lengkap materi integral kali ini kita akan membahas contoh soal integral dengan menggunakan sifat sifat integral tentu dan tak tentu simak soal dan pembahasan berikut untuk meningkatkan pemahamanmu mengenai cara penyelesaian soal soal integral. Ada 3 bentuk utama dalam menngunakan integral siklometri yaitu. Kumpulan soal dan jawaban integral trigonometri. Contoh soal dan pembahasan tentang integral widi wednesday 22 february 2017 bicara soal integral pasti dipikiran kalian materi ini susah banget..
Baik seperti itu saja artikel kali ini dari pintar nesia mengenai materi integral yang berjudul pengertian integral tentu dan tak tentu integral trigonometri dan contoh soal integral mudah dan pembahasn soal integral mudah mudahan artikel ini bisa di pahami dan menambah pengetahuan saya dan teman teman pembaca pintar nesia semuanya terimakasih telah berkunjung di pintar nesia.
Contoh soal dan pembahasan integral siklometri. Supaya lebih nikmat dalam belajar marilah kita lihat contoh contoh berikut. Menampilkan tabel rumus integral trigonometri dan contoh soal menentukan nilai integral trigonometri dilengkapi pembahasan lengkap dan jelas. Materi soal dan pembahasan integral parsial juni 26 2020.
A 2 x 2 kita subtitusi dengan x a sin θ atau x a cos θ. Kesimpulan fungsi trasenden teknik pengintegralan dan integral memiliki keterkaitan antar satu sama lain. Materi soal dan pembahasan pecahan berlanjut juli 3 2020.
A 2 x 2 kita subtitusi dengan x a tan θ atau x a cot θ. X 2 a 2 kita subtitusi dengan x a sec θ atau x a csc θ. Demikianlah pembahasan mengenai contoh soal integral tentu tak tentu substitusi parsial dan rumus semoga dengan adanya ulasan tersebut dapat menambah wawasan dan pengetahuan kalian semua terima kasih banyak atas kunjungannya.
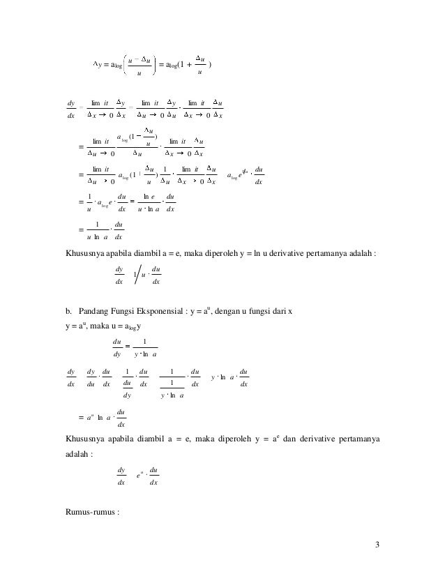
𝐷 𝑥 ln 𝑥 1 𝑥1 2. 1 2 𝑥 1 2 1 2𝑥 18. E 2 71828 contoh soal.
Soalnya seringnya remidi pas materi ini. Integral merupakan cabang ilmu matematika yang memiliki tingkat kesulitan cukup tinggi. Bab iii penutup a.
Tentukan 𝐷 𝑥 ln 𝑥. Soal dan pembahasan ranah pengetahuan kuantitatif utbk bagian 5 juni 25 2020.
Contoh Soal Dan Pembahasan Integral Siklometri – Soal dan pembahasan ranah pengetahuan kuantitatif utbk bagian 5 juni 25 2020. Tentukan 𝐷 𝑥 ln 𝑥. Bab iii penutup a. Integral merupakan cabang ilmu matematika yang memiliki tingkat kesulitan cukup tinggi. Soalnya seringnya remidi pas materi ini. E 2 71828 contoh soal..




