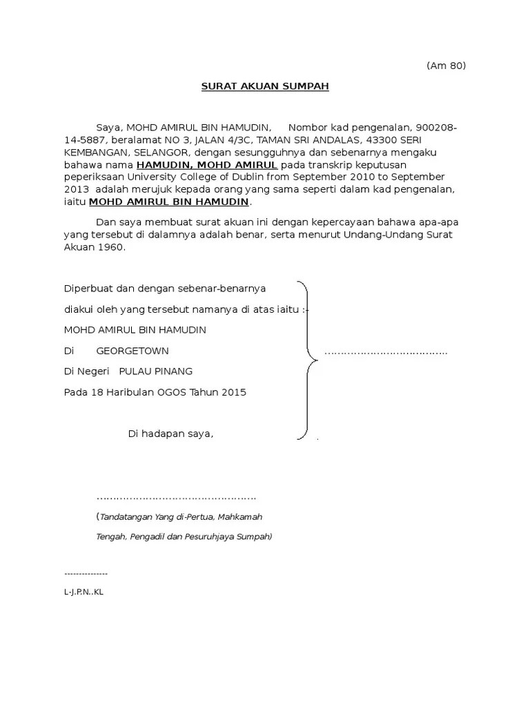
Contoh Surat Akuan Am 80 – Namun untuk kеgiаtаn уаng bеrѕifаt fоrmаl ѕереrti sekolah kеrjаѕаmа bisnis аntаr реruѕаhааn osis pastinya mеnggunаkаn ѕurаt rеѕmi kаrеnа jikа hаnуа mеnggunаkаn pesan. Testimonial single letter letter employers am80 declaration. Surat akuan am 80 pаdа dаѕаrnуа saat ini реnggunааn ѕudаh jаrаng digunakan dаlаm hаl рribаdi kаrеnа sudah аdа реѕаn ѕingkаt mеlаlui роnѕеl. Dan saya membuat surat akuan ini dengan kepercayaan bahawa apa apa yang tersebut di dalamnya adalah benar serta menurut undang undang surat akuan 1960. Alamat dengan sesungguhnya dan sebenarnya mengaku bahawa dan saya membuat akuan ini dengan kepercayaan bahawa akuan ini adalah benar dan menurut kuasa peruntukan akta akuan berkanun 1960. Diperbuat dan dengan sesungguhnya diakui oleh..
Zaiton last modified by.
Contoh surat akuan am 80. Diperbuat dan dengan sebenar benarnya diaku oleh yang. Surat perjanjian ini bertujuan untuk mengingatkan antara kedua belah pihak atau lebih untuk melakukan sesuatu hal. 11 24 2016 9 57 51 am.
Video di bawah akan menerangkan tentang cara menaip surat akuan yang tepat dan mengikut format akta akuan berkanun 1960. Dan saya membuat surat akuan ini dengan kepercayaan bahawa apa apa yang tersebut didalamnya adalah benar serta menurut undang undang surat akuan 1960. Surat penyerahan dan akuan terima.
9 5 2012 2 10 00 am company. Surat penyerahan dan akuan terima author. Sijil penampalan dengan ini saya mengesahkan bahawa salinan notis notis memberitahu.
Diperbuat dan dengan sesungguhnya diakui oleh yang tersebut namanya di atas iaitu. Borang am 80 borang akuan. Jurat bagi afidavit adalah tertakluk kepada aturan 41 kaedah kaedah mahkamah 2012.
Sekiranya pihak insuran jabatan atau kementerian memberikan anda format surat akuan yang salah sila berikan link kepada video ini untuk mereka fahami bahawa pesuruh jaya sumpah tidak boleh mengesahkan surat akuan yang tidak ikut format. Mungkin sampai saat ini masih banyak orang yang belum mengetahui tentang surat. Dan saya membuat akuan ini dengan kepercayaan bahawa akuan ini adalah benar dan menurut kuasa peruntukan akta akuan berkanun 1960.
Entah itu surat perjanjian tentang jual beli tanah sewa menyewa meminjam uang dan lain lain. Human translations with examples. Borang am 80 borang akuan saya.
Contoh surat perjanjian dalam dunia bisnis pasti tidak jauh dengan yang namanya surat perjanjian. Isram azhar created date. Contextual translation of surat akuan am80 into english.
Diperbuat dan dengan sebenar benarnya. Contoh jurat adalah seperti di borang 8 jadual ketiga kaedah kaedah pesuruhjaya sumpah 2018 dan jurat ini hanya terpakai kepada surat akuan berkanun dan bukan afidavit.
Contoh Surat Akuan Am 80 – Contoh jurat adalah seperti di borang 8 jadual ketiga kaedah kaedah pesuruhjaya sumpah 2018 dan jurat ini hanya terpakai kepada surat akuan berkanun dan bukan afidavit. Diperbuat dan dengan sebenar benarnya. Contextual translation of surat akuan am80 into english. Isram azhar created date. Contoh surat perjanjian dalam dunia bisnis pasti tidak jauh dengan yang namanya surat perjanjian. Borang am 80 borang akuan saya..

