Contoh Surat Kuasa Mendebet Rekening – Format gambar contoh surat kuasa tutup rekening bank yang benar 2019. Surat kuasa ini tidak dapat dicabut tanpa persetujuan dari penerima kuasa. Untuk mendebet rekening rekening pemberi kuasa yang terdapat pada pt bank rakyat indonesia tbk bri sebagaimana dimaksud dalam tabel di bawah ini dan. Berbagai keperluan bank yang diwakilkan kepada orang lain semuanya harus menggunakan surat kuasa dari pemberi wewenang kepada penerima wewenang misalnya saja seperti penarikan uang tunai dari rekening bank melalui teller. Jika terdapat lebih dari 1 satu polis wajib mengisi surat kuasa pendebetan rekening secara terpisah. Ngomongin tentang contoh surat kuasa pendebetan rekening bank merupakan hal yang cukup menarik terlebih untuk anda yang memang sedang mencari contoh surat kuasa pendebetan rekening bank nah kami sudah menyiapkan data yang cukup akurat untuk anda baca yang memang mengulas tentang contoh surat atau bentuk surat yang diambil dari sumber yang terpercaya..
Adin blog yang selalu berbahagia saya do akan kali ini penulis akan membahas mengenai contoh format surat kuasa pendebetan rekening yang baik dan benar surat ini sangat penting karena termasuk surat resmi oleh karena itu kita harus hati hati dalam menyusun kalimatnya karena ini merupakan kekuasaan yang tidak jarang bila kita gegabag dalam penulisannya maka kita bisa dimanfaatkan oleh orang lain yang tidak bertanggungjawab dan kita yang menanggung.
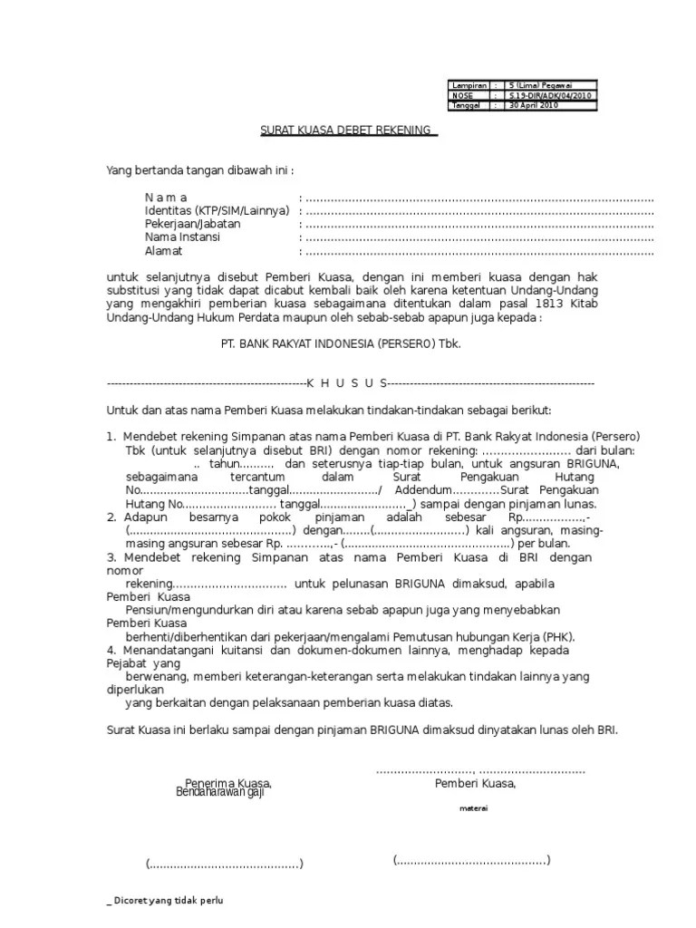
Contoh surat kuasa mendebet rekening. Ngomongin tentang contoh surat kuasa mendebet rekening merupakan hal yang cukup menarik terlebih untuk anda yang memang sedang mencari contoh surat kuasa mendebet rekening nah kami sudah menyiapkan data yang cukup akurat untuk anda baca yang memang mengulas tentang contoh surat atau bentuk surat yang diambil dari sumber yang terpercaya. The collection that consisting of chosen picture and the best among others. Semoga bermanfaat untuk anda yang sedang menulis format surat kuasa.
Contoh surat kuasa pendebetan rekening. Contoh surat kuasa bank dalam dunia perbankan surat kuasa bukanlah sesuatu hal yang jarang. Demikian beberapa contoh surat kuasa bank bni untuk berbagai keperluan.
Segala akibat yang timbul atas pemberian kuasa ini menjadi tanggung jawab pemberi kuasa sepenuhnya dengan membebaskan pt bank rakyat indonesia persero tbk dari segala tuntutan atau gugatan yang timbul dari pengambilan uang simpanan tersebut. Surat kuasa ini tidak dapat dicabut tanpa persetujuan dari penerima kuasa dan pt. Dalam hal terjadi perselisihan antara pemberi kuasa dengan penerima kuasa maka perselisihan tersebut akan diselesaikan oleh kedua belah pihak tanpa melibatkan bca.
Surat kuasa pendebetan rekening ini berlaku hanya untuk 1 satu polis. Contoh surat kuasa tutup rekening bank have an image from the other contoh surat kuasa tutup rekening bank it also will include a picture of a sort that might be observed in the gallery of contoh surat kuasa tutup rekening bank. Mohon maaf apabila terdapat kesamaan nama tempat informasi lain karena surat yang dibuat hanya bertujuan sebagai percontohan tanpa ada maksud apapun.
Demikian surat kuasa pendebetan rekening ini dibuat untuk dipergunakan sebagaimana mestinya. Surat kuasa ini berlaku sampai dengan dicabut oleh pemberi kuasa. Segala akibat yang timbul sehubungan dengan pemberian kuasa pendebetan rekening ini menjadi tanggung jawab pemberi kuasa sepenuhnya dan dengan ini pemberi.
Contoh Surat Kuasa Mendebet Rekening – Segala akibat yang timbul sehubungan dengan pemberian kuasa pendebetan rekening ini menjadi tanggung jawab pemberi kuasa sepenuhnya dan dengan ini pemberi. Surat kuasa ini berlaku sampai dengan dicabut oleh pemberi kuasa. Demikian surat kuasa pendebetan rekening ini dibuat untuk dipergunakan sebagaimana mestinya. Mohon maaf apabila terdapat kesamaan nama tempat informasi lain karena surat yang dibuat hanya bertujuan sebagai percontohan tanpa ada maksud apapun. Contoh surat kuasa tutup rekening bank have an image from the other contoh surat kuasa tutup rekening bank it also will include a picture of a sort that might be observed in the gallery of contoh surat kuasa tutup rekening bank. Surat kuasa pendebetan rekening ini berlaku hanya untuk 1 satu polis..



