Contoh Surat Lamaran Rsud Prov Sumsel – Pada zaman penjajahan belanda sebelum 17 agustus 1945 dinas kesehatan provinsi sumsel dinamakan dvg diens van gezond hield kemudian setelah merdeka 17 agustus 1945 diberi nama dinas kesehatan rakyat dan diubah lagi dengan nama pengawas kepala dinas kesehatan rakyat provinsi sumatera selatan tahun. Rsud provinsi sumatera selatan merupakan rumah sakit umum daerah yang berlokasi di jalan kolonel h. Pemerintah provinsi sumsel bertekad menjadikan rumah sakit yang dibangun menggunakan apbd provinsi sumsel ini menjadi pusat rujukan seluruh daerah di sumsel yakni rumah sakit terbesar terbaik dan berstandar internasional. Rsud sumsel berada di bawah naungan dinas kesehatan dinkes provinsi sumatera selatan. Contoh surat lamaran kerja di bank sebenarnya tidak jauh berbeda dengan surat lamaran kerja pada umumnya. Contoh surat lamaran kerja berikut contoh surat lamaran pekerjaan yang bisa kamu download file dokumennya..
Agar memiliki peluang diterima di suatu perusahaan yang diincar anda tentu harus menulis surat lamaran kerja dengan baik dan benar.
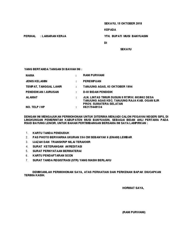
Contoh surat lamaran rsud prov sumsel. Surat pernyataan kesanggupan membuat sip di rsud prov sumsel wajib untuk tenaga medis sk pangkat terakhir wajib untuk pelamar pns. Seperti lamaran kerja pada umumnya terdapat beberapa hal yang harus diperhatikan ketika menyusun surat lamaran kerja antara lain. Contoh buat surat lamaran kerja baik dan benar tribunsumsel com surat lamaran kerja menjadi bagian penting saat melamar di suatu perusahaan.
Contoh surat lamaran rsud prov sumsel it also will include a picture of a sort that may be seen in the gallery of contoh surat lamaran rsud prov sumsel. Lampiran yang dibutuhkan jika anda sedang bersiap untuk mengirimkan lamaran di rumah sakit pastikan anda mempersiapkan lampiran berikut ini. Demikian info tentang contoh surat lamaran surat pernyataan cpns 2019 kabupaten kota di provinsi sumatera selatan terima kasih sudah membaca artikel ini semoga info tentang surat lamaran dan surat pernyataan cpns 2019 2020 untuk semua kab kota propinsi sumsel ini bisa bermanfaat bagi pelamar cpns tahun anggaran 2019.
9 contoh surat lamaran kerja bahasa inggris dan terjemahannya lengkap. Lowongan kerja pns dan non pns rsud provinsi sumatera selatan. Lowongan kerja rsud sumsel pns dan non pns.
You merely have to go through the gallery below the contoh surat lamaran rsud prov sumsel picture. Yang membedakan hanya tujuannya yaitu untuk melamar kerja di bank. Surat lamaran kerja adalah surat yang digunakan untuk melakukan permohonan mendapatkan pekerjaan sesuai pengalaman pada perusahaan tertentu.
Rekrutmen rsud provinsi sumsel rumah sakit umum daerah rsud provinsi sumatera selatan. Surat lamaran kerja dibutuhkan guna melamar pekerjaan baru untuk kamu yang baru lulus kuliah pindah kerja cari suasana baru maupun fresh graduate. Contoh surat lamaran kerja di rumah sakit yang benar dan baik agar terlihat profesional sangat dibutuhkan untuk mendapatkan perhatian dari pihak terkait.
The collection that consisting of chosen picture and the best amongst others.
Contoh Surat Lamaran Rsud Prov Sumsel – The collection that consisting of chosen picture and the best amongst others. Contoh surat lamaran kerja di rumah sakit yang benar dan baik agar terlihat profesional sangat dibutuhkan untuk mendapatkan perhatian dari pihak terkait. Surat lamaran kerja dibutuhkan guna melamar pekerjaan baru untuk kamu yang baru lulus kuliah pindah kerja cari suasana baru maupun fresh graduate. Rekrutmen rsud provinsi sumsel rumah sakit umum daerah rsud provinsi sumatera selatan. Surat lamaran kerja adalah surat yang digunakan untuk melakukan permohonan mendapatkan pekerjaan sesuai pengalaman pada perusahaan tertentu. Yang membedakan hanya tujuannya yaitu untuk melamar kerja di bank..







