Contoh Surat Pengunduran Diri Karyawan Koperasi – Contoh surat resign pengunduran diri pada artikel sebelumnya kita telah membahas secara lengkap mengenai surat pernyataan yang baik dan benar dan pada kesempatan ini kita akan membahas jenis surat lainnya yang tak kalah diperlukan yakni surat resign atau pengunduran diri dari pekerjaan. Untuk mengurus koperasi tersebut maka tentu dibutuhkan sebuah sistem kepengurusan dan mungkin anda adalah salah satu pengurusnya yang menjabat di salah satu koperasi. Untuk bisa bekerja disana pada umumnya anda akan diminta memberikan jaminan dan akan dikembalikan pada saat mengundurkan diri. Contoh surat pengunduran diri berikut ini 3 contoh surat untuk pengunduran diri karyawan perusahaan dalam format sederhana tapi bisa digunakan secara resmi. Meski tidak mudah tapi langkah seperti ini memang harus diambil entah karena urusan keluarga kesehatan mencari karir yang. Contoh surat pengunduran diri karyawan koperasi berbagai jenis koperasi ada di indonesia mulai dari koperasi simpan pinjam dan lain sebagainya..
Memang tidak ada bentuk baku surat pengunduran diri tapi secara garis besar surat tersebut berisi alasan pengunduran diri dan ucapan terima kasih atas kesempatan yang sudah diberikan oleh perusahaan.
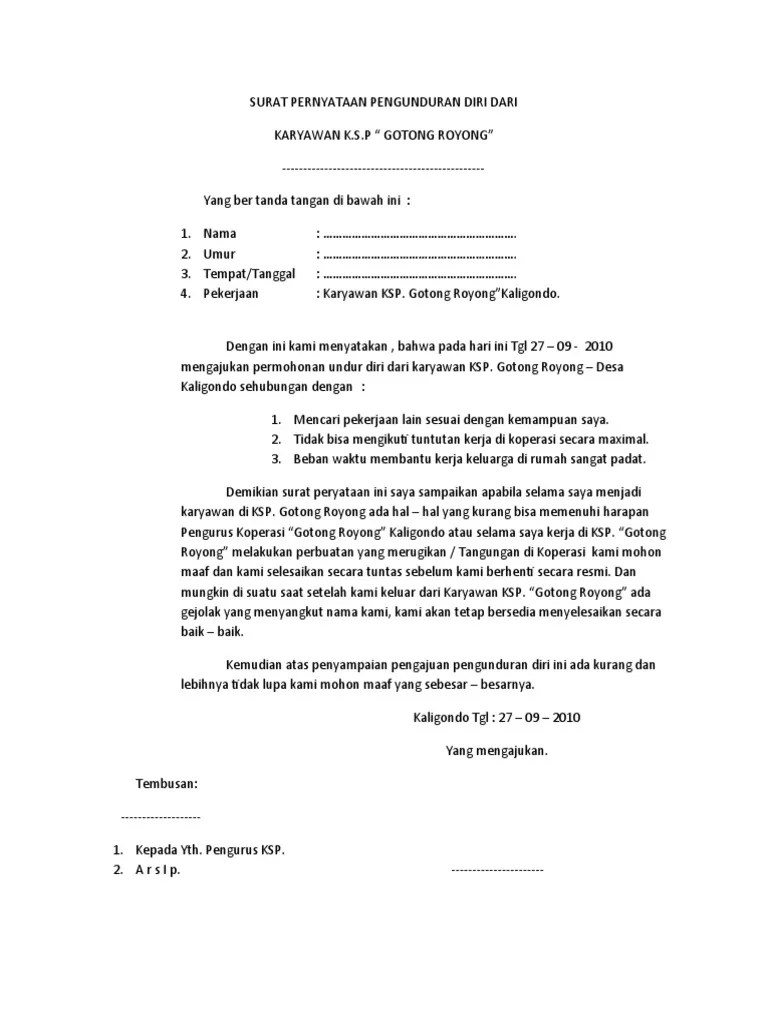
Contoh surat pengunduran diri karyawan koperasi. Contoh surat pengunduran diri dari koperasi bagi anggota permainan tepuk dan lagu tema profesi atau pekerjaan by kak zepe dan para pendidik paud forum tk dan paud tema profesi atau pekerjaan adalah salah satu tema yang harus diajarkan pada anak anak usia dini di seluruh indonesia pada semester du. Contoh surat pengunduran diri atau contoh surat resign yang baik dan benar. Mengundurkan diri adalah sesuatu yang wajar dilakukan oleh siapaun yang berada dalam sebuah tanggung jawab perusahaan organisasi atau instansi lainnya.
Mengenal macam macam contoh surat pengunduran diri. Contoh surat pengunduran diri sebagai anggota koperasi pandawa contoh surat pengunduran diri sebagai anggota koperasi contoh surat pengunduran diri sebagai guru contoh surat pengunduran diri sebagai kepala sekolah contoh surat pengunduran diri sebagai mahasiswa contoh surat pengunduran diri sebagai direktur contoh surat pengunduran diri sebagai perangkat desa contoh surat pengunduran. Langkah berikutnya yang perlu anda ketahui adalah menulis surat tersebut.
Contoh surat pengunduran diri memiliki pekerjaan memang adalah sebuah kebutuhan dan bisa jadi pekerjaan yang kita miliki itu menjadi impian banyak orang meski demikian ada hal hal yang terkadang membuat seseorang harus keluar atau meninggalkan pekerjaan tersebut. Seperti tertulis dalam surat pengunduran tersebut anda bisa menambahkan materai rp. Contoh surat pengunduran diri kerja dari koperasi sebuah koperasi memiliki sangat banyak manfaat bagi para anggotanya.
6000 untuk memperkuat pernyataan anda di mata hukum. Contoh surat pengunduran diatas cukup simple dan sederhana cocok bila dipakai untuk mengundurkan diri dari instansi kecil semacam koperasi. Setelah sebelumnya saya membahas tentang contoh surat lamaran kerja kali ini saya akan membahas contoh surat pengunduran diri yang baik dan benar.
Adapun pada pembahasan di bawah ini akan dibahas mengenai 5 contoh surat pengunduran diri yang perlu anda ketahui yaitu. Nah setelah mengenal manfaat dan kompenen dalam penulisan surat pengunduran diri.
Contoh Surat Pengunduran Diri Karyawan Koperasi – Nah setelah mengenal manfaat dan kompenen dalam penulisan surat pengunduran diri. Adapun pada pembahasan di bawah ini akan dibahas mengenai 5 contoh surat pengunduran diri yang perlu anda ketahui yaitu. Setelah sebelumnya saya membahas tentang contoh surat lamaran kerja kali ini saya akan membahas contoh surat pengunduran diri yang baik dan benar. Contoh surat pengunduran diatas cukup simple dan sederhana cocok bila dipakai untuk mengundurkan diri dari instansi kecil semacam koperasi. 6000 untuk memperkuat pernyataan anda di mata hukum. Contoh surat pengunduran diri kerja dari koperasi sebuah koperasi memiliki sangat banyak manfaat bagi para anggotanya..





