Contoh Surat Pengunduran Diri Mengikuti Lelang – Selain itu gambar ini juga memiliki berbagai ukuran. Sukasenang jaya di jl. Jika anda mencari contoh surat pengunduran diri lelang maka anda berada di tempat yang tepat blog cabcontoh memiliki banyak koleksi gambar seperti contoh surat pengunduran diri lelang gambar ini tersedia dalam format jpg png gif. Jika anda mencari contoh surat pengunduran diri mengikuti lelang maka anda berada di tempat yang tepat blog contoham memiliki banyak koleksi gambar seperti contoh surat pengunduran diri mengikuti lelang gambar ini tersedia dalam format jpg png gif. Ada kalanya pada suatu titik kamu pasti akan merasakan dengan berbagai situasi persoalan yang. Untuk melakukan pengunduran diri kita perlu membuat surat sehingga saat ke luar kerja kita tetap meninggalkan kesan baik terhadap perusahaan..
Melalui surat ini kami pt badak bahagia abadi mengajukan pengunduran diri perusahaan dari tender proyek pengadaan dan pemasangan unit building automation system bas di gedung graha bieber di karenakan project yang kami tangani sedang overload.
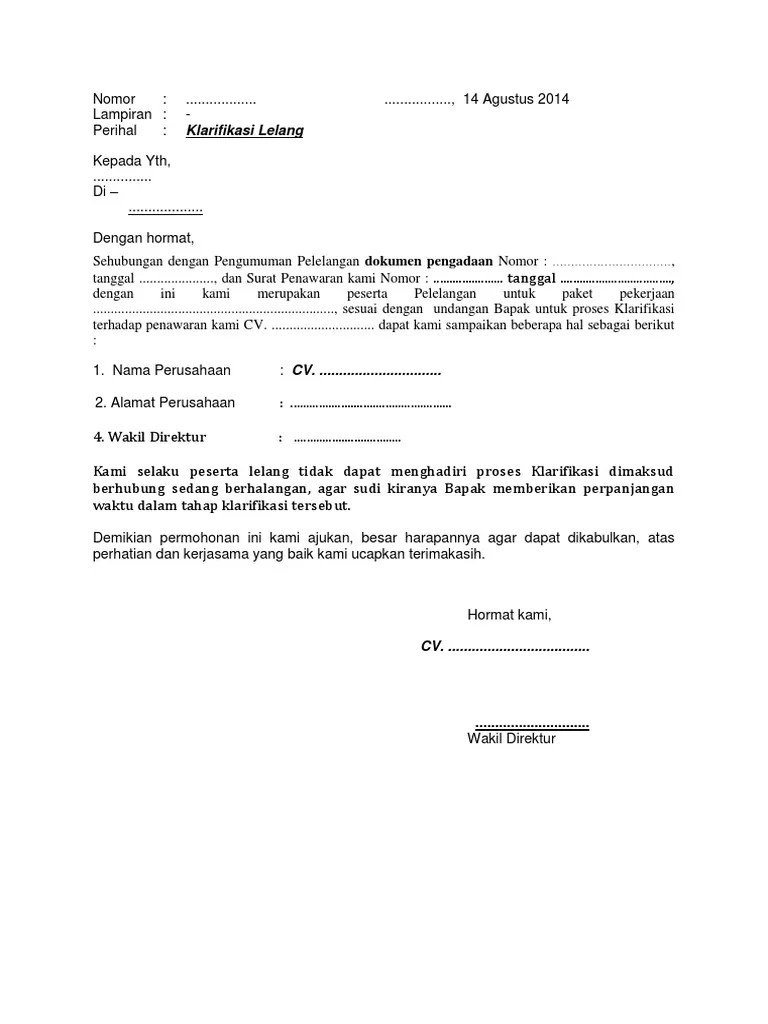
Contoh surat pengunduran diri mengikuti lelang. Selain itu gambar ini juga memiliki berbagai ukuran. Bogor 21 juni 2012 kepada yth pt. Contoh surat pengunduran diri mengikuti lelang djkn contoh surat pengunduran diri mengikuti lelang motor contoh surat pengunduran diri mengikuti lelang mobil.
Contoh surat pengunduran diri saat merasa tidak nyaman di tempat kerja barangkali itu salah satu pertanda kita perlu mengundurkan diri. Sukasenang jaya atas. Dengan hormat bersama surat ini saya mengajukan permohonan mengundurkan diri sebagai karyawan pt.
Related posts to contoh surat pengunduran diri mengikuti lelang contoh surat pengunduran diri mengikuti lelang 2018 04 23t01 19 00 07 00 rating. Semoga di lain kesempatan kami bisa bekerja sama dengan bieber corp. Softgaleri adalah blog yang berbagi informasi kode administrasi dalam surat menyurat administrasi aplikasi dan administrasi guru yang mana file berikut ini adalah kumpulan dari berbagi sumber tentang contoh surat pengunduran diri mengikuti lelang yang bisa bapak ibu gunakan dan diunduh secara gratis dengan menekan tombol.
Contoh surat pengunduran diri mengikuti lelang. Contoh surat pengunduran diri 1. Anda bisa mendownload atau mencetak gambar atau foto contoh surat pengunduran diri lelang di bawah ini.
Anda bisa mendownload atau mencetak gambar atau foto contoh surat pengunduran diri.
Contoh Surat Pengunduran Diri Mengikuti Lelang – Anda bisa mendownload atau mencetak gambar atau foto contoh surat pengunduran diri. Anda bisa mendownload atau mencetak gambar atau foto contoh surat pengunduran diri lelang di bawah ini. Contoh surat pengunduran diri 1. Contoh surat pengunduran diri mengikuti lelang. Softgaleri adalah blog yang berbagi informasi kode administrasi dalam surat menyurat administrasi aplikasi dan administrasi guru yang mana file berikut ini adalah kumpulan dari berbagi sumber tentang contoh surat pengunduran diri mengikuti lelang yang bisa bapak ibu gunakan dan diunduh secara gratis dengan menekan tombol. Semoga di lain kesempatan kami bisa bekerja sama dengan bieber corp..






