Contoh Surat Perjanjian Damai Suami Istri – Dalam contoh surat perjanjian damai suami istri gawe cv telah memilihkan tema atau template yang terbaik untuk dijadikan inspirasi ide ataupun acuan dalam penulisan surat anda. Anda sedang membuka postingan contoh surat perjanjian damai suami istri yang berada pada kategori contoh surat dengan tag postingan berikut contoh surat perjanjian damai suami istri. Pernyataan yang diberikan secara lisan sering kali sulit untuk diingat dengan secara rinci. If there is a picture that violates the rules or you want to give criticism and suggestions about contoh surat. Terimakasih telah berkunjung di gawe cv pada post contoh surat perjanjian damai suami istri. Surat pernyataan damai kesalahpahaman..
Pihak kedua nama umur pekerjaan.
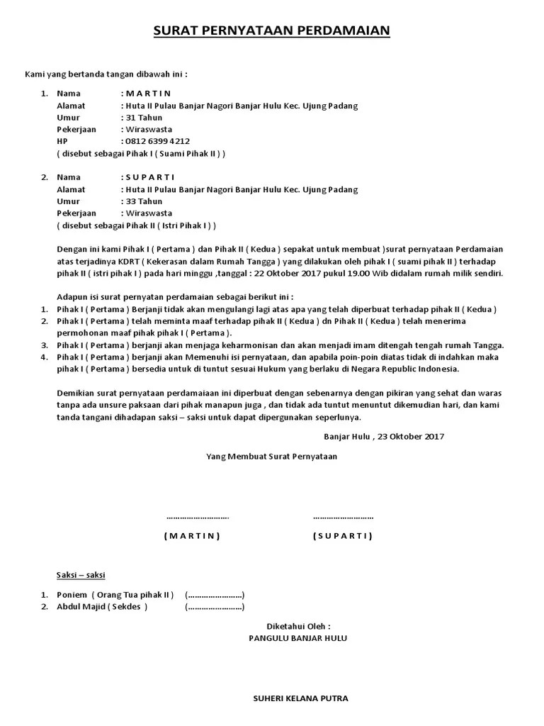
Contoh surat perjanjian damai suami istri. Contoh surat pernyataan cerai pada umumnya tidak ada orang yang menginginkan perceraian namun pada kenyatannya masih sering terjadi kasus perceraian dimana mana. All the images that appear are the pictures we collect from various media on the internet. Berikut ini contoh surat yang baik dan benar serta menarik perhatian yang dapat anda gunakan dalam tema maupun format penulisan surat.
Contoh surat perjanjian damai sengketa tanah. Contoh surat pernyataan pernyataan bisa dilakukan secara lisan maupun non lisan atau tertulis. Contoh surat pernyataan kasus pencurian.
Kami yang bertanda tangan dibawah ini nama umur pekerjaan. Nama diatas disebut sebagai pihak kesatu. Surat perjanjian tidak ada tuntutan.
Ada banyak alasan yang mengharuskan sepasang suami istri untuk bercerai dan berpisah tergantung dari permasalahan keluarga masing masing. Admin dari blog bagi contoh surat 2019 juga mengumpulkan gambar gambar lainnya terkait contoh surat perjanjian buat suami yang selingkuh dibawah ini. Contoh surat kesepakatan perdamaian antara seorang pemilik kendaraan sepeda motor dengan orang yang diduga mencuri sepeda motor tersebut dan disertai dengan pencabutan laporan polisi serta janji tidak akan melakukan tuntutan hukum apapun lagi.
Bedanya keterangan suami istri dibuat oleh kelurahan sedangkan pernyataan ini dibuat sendiri oleh yang bersangkutan. Dalam bentuknya jika disebutkan secara lisan pernyataan sulit untuk dapat dibuktikan kecuali bila ada saksi. Surat pernyataan izin orang tua wali suami.
Contoh surat perjanjian damai tidak melanjutkan permasalahan. Contoh surat pernyataan suami istri kalau yang satu ini sebenarnya fungsinya hampir sama dengan keterangan suami istri. Surat perjanjian damai suami istri.
Semoga dapat memberikan manfaat yang berharga bagi anda dan jangan. Surat perjanjian antar suami istri. Gambar contoh surat perjanjian damai suami istri 85 dalam.
Contoh surat perjanjian suami istri tidak mengulangi. Pihak pertama berjanji tidak akan mengulangi lagi. Untuk lebih jelas sebaiknya perhatikan contoh surat pernyataan dari beberapa fungsi.
Contoh wakalah serta surat perjanjian damai antara kedua belah pihak yang berselisih.
Contoh Surat Perjanjian Damai Suami Istri – Contoh wakalah serta surat perjanjian damai antara kedua belah pihak yang berselisih. Untuk lebih jelas sebaiknya perhatikan contoh surat pernyataan dari beberapa fungsi. Pihak pertama berjanji tidak akan mengulangi lagi. Contoh surat perjanjian suami istri tidak mengulangi. Gambar contoh surat perjanjian damai suami istri 85 dalam. Surat perjanjian antar suami istri..






