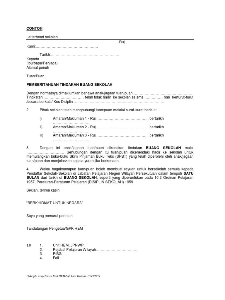
Contoh Surat Rasmi Buang Sekolah – 15 contoh surat rasmi buang sekolah terbaik 2019. Berikut dikongsikan senarai contoh surat rasmi tidak hadir ke sekolah buat panduan semua. Contoh surat resmi sekolah setiap komunikasi sekolah yang bersifat resmi biasanya akan menggunakan surat sebagai alat komunikasinya. Surat rasmi memohon cuti sekolah ini penting untuk memastikan rekod berhenti sekolah kelak pelajar yang baik dan tiada mempunyai rekod kesalahan ponteng sekolah. Oleh itu ibu bapa atau pelajar boleh menjadikan contoh surat ini sebagai satu panduan untuk membina surat rasmi yang terbaik. Contoh surat keputusan tindakan tatatertib buang sekolah..
Contohsurat keputusan tindakan tatatertib buang sekolah.
Contoh surat rasmi buang sekolah. Sms bb s sulit 1 2 rusli bin abdul kp. The collection that consisting of chosen picture and the best amongst others. A1234567 sekolah menengah kebangsaan alamsemesta 16safar 1412.
Contoh surat buang sekolah sekolah menengah kebangsaan sultan idris shah ii 33300 gerik tel. Alasan ketidakhadiran ke sekolah adalah berbeza beza mengikut individu dan pelajar adalah dilarang untuk menipu alasan tidak ke sekolah. Ingat jangan ponteng sekolah tanpa alasan yang munasabah.
Related posts to contoh surat rasmi rayuan buang sekolah contoh surat rasmi rayuan buang sekolah 2020 06 11t03 04 00 07 00 rating. Sekolah menengah kebangsaan alamsemesta. Contoh surat rasmi buang sekolah in addition it will feature a picture of a kind that could be seen in the gallery of contoh surat rasmi buang sekolah.
Surat rasmi tidak hadir ke sekolah. Contoh surat rasmi bagi meminjam premis contoh surat rasmi contoh surat rasmi permohonan bantuan contoh surat rasmi kerajaan contoh surat rasmi sakit contoh surat rasmi jabatan contoh surat rasmi rayuan contoh surat rasmi temujanji contoh surat rasmi permohonan pindah sekolah contoh surat kuasa contoh surat lamaran contoh surat pengunduran diri contoh surat resign contoh surat. Maka dari itu surat dinas sekolah disebut dengan salah satu contoh surat resmi.
Contoh Surat Rasmi Buang Sekolah – Maka dari itu surat dinas sekolah disebut dengan salah satu contoh surat resmi. Contoh surat rasmi bagi meminjam premis contoh surat rasmi contoh surat rasmi permohonan bantuan contoh surat rasmi kerajaan contoh surat rasmi sakit contoh surat rasmi jabatan contoh surat rasmi rayuan contoh surat rasmi temujanji contoh surat rasmi permohonan pindah sekolah contoh surat kuasa contoh surat lamaran contoh surat pengunduran diri contoh surat resign contoh surat. Surat rasmi tidak hadir ke sekolah. Contoh surat rasmi buang sekolah in addition it will feature a picture of a kind that could be seen in the gallery of contoh surat rasmi buang sekolah. Sekolah menengah kebangsaan alamsemesta. Related posts to contoh surat rasmi rayuan buang sekolah contoh surat rasmi rayuan buang sekolah 2020 06 11t03 04 00 07 00 rating..


