Soal Dan Jawaban Matematika Tentang Fungsi Komposisi Dan Fungsi Invers – Kumpulan soal fungsi komposisi dan invers beberapa model soal yang umum tentang fungsi komposisi dan invers anatara lain. A b mempunyai fungsi invers f 1. Fungsi invers atau yang juga dikenal sebagai fungsi kebalikan adalah sebuah fungsi yang berkebalikan dari fungsi asalnya. Jika dan f 1 invers dari f maka x 4. Contoh soal dan pembahasan tentang invers fungsi komposisi. Latihan soal fungsi komposisi dan fungsi invers..
X 2 11x 28 d.
Soal dan jawaban matematika tentang fungsi komposisi dan fungsi invers. Contoh soal dan jawaban tentang fungsi invers. Hubungan tersebut bisa dinyatakan seperti berikut. Masukkan hasilnya ke fungsi h x sehingga didapatkan h o g o f x 2 x 2 4x 3 2x 2 8x 6 soal nomor 11 diketahui fungsi f x x 4 dan g x x 2 3x 10.
Dengan kata lain daerah asal dari f x merupakan daerah asal bagi f 1 x dan daerah asal dari f x merupakan daerah hasil bagi f 1 x. X 2 3x 6 c. Contoh soal fungsi komposisi jawaban dan pembahasannya kelas 10 soal no 1 utbk 2019 diketahui grafik fungsi f dan g dengan beberapa nilai fungsi f dan g sebagai berikut.
Untuk menentukan inves suatu fungsi maka yang harus kita lakukan adalah membalik fungsi tersebut. Fungsi invers yaitu suatu fungsi kebalikan dari fungsi asalnya. Contoh soal dan pembahasan tentang fungsi invers.
Berikut ini adalah kumpulan beberapa soal mengenai komposisi dan invers fungsi tingkat sma sederajat disertai pembahasannya. Contoh soal dan pembahasan tentang fungsi komposisi. X 2 11x 30 e.
Fungsi komposisi dan fungsi invers. Hubungan itu bisa dinyatakan sebagai berikut. X 2 11x 38 pembahasan dari soal un matematika tahun 2013 dengan cara.
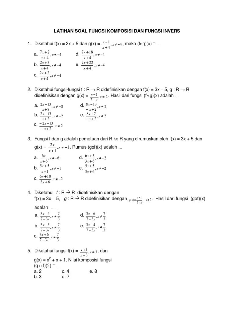
Soal pembahasan matematika sd smp sma. Fungsi komposisi gof x. Contoh soal fungsi komposisi dan invers pilihan ganda pembahasan berikut ini bank contoh soal fungsi komposisi dan invers lengkap dengan jawaban beserta penyelesaiannya untuk siswa dari berbagai penerbit buku yang berjumlah 20 butir.
X 2 3x 14 b. Sebuah fungsi f mempunyai fungsi invers kebalikan f 1 jika f adalah fungsi satu satu dan fungsi pada bijektif. Jika a dan b berkorespondensi satu satu maka suatu fungsi f.
Hal itu dapat dilakukan dengan cara mengubah f x menjadi y kemudian dari persamaan yang dihasilkan kita tentukan persamaan atau nilai x. Suatu fungsi f mempunyai fungsi invers kebalikan f 1 jika f adalah fungsi satu satu dan fungsi pada bijektif. Contoh soal dan pembahasan tentang invers fungsi komposisi.
Soal juga dapat diunduh dengan mengklik tautan berikut. Sederhananya adalah fungsi bijektif terjadi saat jumlah anggota domain jumlah anggota kodomain.
Soal Dan Jawaban Matematika Tentang Fungsi Komposisi Dan Fungsi Invers – Sederhananya adalah fungsi bijektif terjadi saat jumlah anggota domain jumlah anggota kodomain. Soal juga dapat diunduh dengan mengklik tautan berikut. Contoh soal dan pembahasan tentang invers fungsi komposisi. Suatu fungsi f mempunyai fungsi invers kebalikan f 1 jika f adalah fungsi satu satu dan fungsi pada bijektif. Hal itu dapat dilakukan dengan cara mengubah f x menjadi y kemudian dari persamaan yang dihasilkan kita tentukan persamaan atau nilai x. Jika a dan b berkorespondensi satu satu maka suatu fungsi f..








