Soal Ukk Bahasa Inggris Kelas 11 Beserta Jawaban – Contoh soal uas pat bahasa inggris kelas xi semester 2 k13 beserta jawaban berisikan soal soal b. Contoh soal juga dilengkapi dengan kunci jawaban dalam cetak miring sehingga kamu lebih mudah untuk berlatih dan mencobanya. Pilihlah salah satu jawaban yang paling tepat. I ve gained some weight. Selamat datang di blog kumpulansoaltest. Berikut merupakan contoh soal pat tahun pelajaran 2018 2019 kelas xi 11 kurikulum 2013 beserta dengan kunci jawabannya yang bisa bapak ibu guru gunakan sebagai contoh pembuatan soal latihan ukk pat untuk tahun pelajaran 2018 2019 sekarang ini silahkan unduh filenya melalui link..
Sehingga hal ini juga sebagai ilmu yang mempelajari tentang kecerdasan otak dalam.
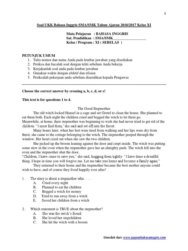
Soal ukk bahasa inggris kelas 11 beserta jawaban. Materi bahasa inggris mata pelajaran bahasa inggris adalah salah satu mata pelajaran yang terdapat di sma smk ma stm negri dan swasta kelas 11 semester 1 2. Soal ujian bahasa inggris kelas 11 semester 2 soal ukk bahasa inggris sma kelas 11 dan kunci jawabanchoose the correct answer by crossing a b c d or e this text. Nah apa saja contoh ujian tersebut simak beberapa contoh soal bahasa inggris kelas 11 semester 2 seperti penjelasan di bawah ini.
Pada kesempatan kali ini akan kami bagikan contoh latihan soal ukk uas semester 2 genap kelas x dan xi sma ma mapel bahasa inggris dan kunci jawaban cuplikan soal ukk uas bahasa inggris kelas x semester 2 genap. Berikut ini adalah contoh soal soal percakapan pendek yang bertema asking giving accepting refusing suggestion and advice sebagai bahan letihan pemahaman bahasa inggris khususnya materi kelas xi. Soal pat kelas xi k13 beserta kunci jawaban contoh dalam pembuatan soal latihan jenjang kelas 11 xi sma smk ma sebelum menghadapi ukk pat tp 2018 2019.
Inggris kurikulum 2013 sma ma smk mak sederajat edisi revisi mulai dari bab 1 yang berisikan soal tentang informal letter serta expression related to the informal letter sampai dengan bab 4 explanation text dan passive voice ada sekitar 35 butir soal 20 pg 15 essay ulangan akhir semester. 38 contoh soal suggestion dan advice bahasa inggris beserta jawaban. Soal pat bahasa inggris kelas xi kurikulum 2013 tahun pelajaran 2018 2019 doc.
Soal ukk bahasa inggris sma kelas 11 dan kunci jawaban terbaru tidak terasa akhir semester 2 sudah dekat teman teman semua pasti tidak sabar menunggu kenaikan kelas untuk mengatasi kecemasan kalian dalam menghadapi ujian kenaikan kelas nanti kami ingin memberikan soal latihan ukk bahasa inggris sma kelas xi ta 2017 2018 agar teman teman semua mendapatkan nilai yang bagus pada semester 2 ini. Penilaian adalah proses pengumpulan dan pengolahan informasi untuk mengukur pencapaian hasil belajar peserta didik. Artikel tentang contoh soal bahasa inggris kelas 11 tahun 2020 2021 sma smk ma stm lengkap dengan soal pg essay pelajaran ibi untuk semester 1 2.
200 contoh soal bahasa inggris lengkap dengan kunci jawaban dan pembahasan pengertian dan contoh asking for offering and accepting things dalam kalimat bahasa inggris pengertian indefinite adjective dan cara penggunaan indefinite adjective dalam bahsa inggris. Soal suggestion advice 1 your friend situation.
Soal Ukk Bahasa Inggris Kelas 11 Beserta Jawaban – Soal suggestion advice 1 your friend situation. 200 contoh soal bahasa inggris lengkap dengan kunci jawaban dan pembahasan pengertian dan contoh asking for offering and accepting things dalam kalimat bahasa inggris pengertian indefinite adjective dan cara penggunaan indefinite adjective dalam bahsa inggris. Artikel tentang contoh soal bahasa inggris kelas 11 tahun 2020 2021 sma smk ma stm lengkap dengan soal pg essay pelajaran ibi untuk semester 1 2. Penilaian adalah proses pengumpulan dan pengolahan informasi untuk mengukur pencapaian hasil belajar peserta didik. Soal ukk bahasa inggris sma kelas 11 dan kunci jawaban terbaru tidak terasa akhir semester 2 sudah dekat teman teman semua pasti tidak sabar menunggu kenaikan kelas untuk mengatasi kecemasan kalian dalam menghadapi ujian kenaikan kelas nanti kami ingin memberikan soal latihan ukk bahasa inggris sma kelas xi ta 2017 2018 agar teman teman semua mendapatkan nilai yang bagus pada semester 2 ini. Soal pat bahasa inggris kelas xi kurikulum 2013 tahun pelajaran 2018 2019 doc..




